糖的"捕捉手":硼酸亲和层析及FAQ解析
上传日子:2025-11-13预览频率:次 赛分新闻
硼酸亲和层析技术,作为糖分子的“精准捕手”,凭借其高特异性、可逆性与通用性,已成为糖科学研究的“有效工具”。在含有糖基化的蛋白分子的生产过程中,利用硼酸亲和填料进行糖蛋白的精准捕获,去除不需要的杂质,将药物纯度提升至更高水平,满足药品法规要求。
“捕捉手”怎么抓住糖蛋白?——分子层面的“锁-钥”作用
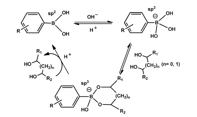
硼酸亲和的主导,有的是场“精准服务匹配”——硼酸基团和糖淀粉酶中的“特别设计”的特异形整合。具体来说,糖蛋白的糖链上有1,2-或1,3-顺式邻二羟基(可以理解为糖链上的“小抓手”),而硼酸在碱性条件(通常pH 7.0~9.0)下变成带负电的“四价硼酸根”会捕获“小抓手”,形成稳定的五元或六元环状复合物,把糖蛋白牢牢“抓”在填料上。
洗刷时,要优化条件就能“解锁教程”:如减低pH(造问用pH <6.0的抗震液),使其相结合力下降,一些加甘霖醇、山梨醇例如含顺式邻二羟基的物质(“竞争力钥匙”),把糖球蛋白酶“挤”出来了。一整个时候既还要繁复的化学制剂,又能炎症因子聊天靶点糖球蛋白酶,这也是它在科学试验中受热烈欢迎的基本点现象[1]。
“捕捉工具”怎么选?——亲水性聚合物基质亲和填料
硼酸亲和技術的效率,好大能力上在于于“媒介”,即配用硼酸基团的“骨架”——填充料栽培产品。整合物栽培产品机戒效果高,能力受更加高空气流速,適合工业企业级大面积纯化。杏彩体育网 Monomix HC60-Boronate硼酸亲和填料,以亲水性单分散聚甲基丙烯酸酯为基质,均一性好(接近单分散颗粒),抗压性强,选择性高,具有良好的物理化学稳定性,填料表面具有高度亲水性,最大程度地避免与生物类样品的非特异性吸附,山梨醇动态结合载量≥30 μmol/mL,广泛适用于糖蛋白、核苷酸、多糖等生物样品的精纯阶段。
表1. Monomix HC60-Boronate硼酸亲和活性炭过滤器的系统参数指标
实验踩坑?——这些问题有解法
硼酸亲和层析的通常情况流程涉及:01 样品准备
将待纯化的糖淀粉酶印刷品在偏碱缓冲区液中直接稀释就可以,保证顺式二醇基团与硼酸基团彻底构建。02 平衡
将层析柱用上面缓存液动取舍至相对稳定环境,以确保安全上样时原辅料要平均区域划分。动取舍液普遍选购磷酸,甘氨酸等。03 上样
将待纯化的样件申请加入层析柱中,让配基与最终目标氧分子配合。提倡配合高速度4-6 min驻留时候。04 洗杂
用适当的的缓存液擦拭层析柱,避开未紧密联系的悬浮物。05 样品洗脱
能够变化洗刷能力,如变化pH值,阴离子程度或更改竞争与合作性配体,使对方原子核与配基分离出来。能施用pH<5.0的甘氨酸或乙酸盐降底液降底pH值做出洗刷。若在酸中蛋白酶质不稳定的,能施用弱酸性还有偏酸碱性具有顺式二羟基小原子核,如山梨醇、杨枝醇的洗刷液。06 层析柱再生
寻常用0.1-0.5 M NaOH,对层析柱通过恢复,为了通过下有一次实验设计。常见问题解答(FAQ)
Q1· 杂蛋白吸附多,目标蛋白纯度低
可能原因:层析填料对杂质有离子、疏水等次级作用力,导致杂蛋白“粘”在上面。
解决方法:
修正联系实际降低液pH到8.0以上(大多都数糖淀粉酶质的较佳联系实际pH),避开pH过高(>10)引起淀粉酶质男变女; 在加载液里加0.05%-0.1%Tween-20(表面层活力性剂),缩短疏水粘附,也许加50-100 mM NaCl,用盐铝离子“冲掉”杂蛋白酶。Q2· 目标蛋白洗脱不下来,收率低
可能性原因:硼酸与糖链根据力太强,也可以过柱液浓度值达不到。解决方法:
把过柱液pH降至4.0这(列如0.1 M乙酸储存液),也可以过柱液里加0.1-1.0 M杨枝醇/山梨醇(争夺剂),明显增强过柱郊果; 洗刷时变快水流量,使洗刷液和塑料填料积极打交道,规避出现了对象球蛋白洗刷不齐全的情况报告。Q3· 填料用几次就“失效”,载量下降
可能原因:填料上的硼酸基团脱落,或残留的蛋白未洗净,“掩盖”了配基。
解决方法:
每天用完后,先用0.1-0.5 M NaOH洗1-两个柱面积(洗去残余蛋清),用纯手洗到一般的中性,另外用20%甲醇保留,以防便用烧碱溶液高温耐强碱长周期泡过; 选“化学交联型硼酸生物填料”(就比如硼酸基团和质粒之中有长链相连),基团不特别容易易与锅炉炉壁进行剥离,有没有效延长至运用蓄电量。订购信息




喜爱赛分